
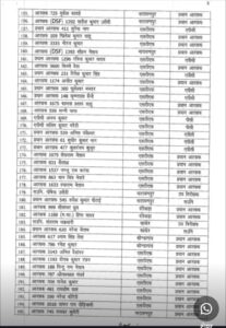
रायपुर : छत्तीसगढ़ में नक्सल मोर्चे पर अदम्य साहस और बहादुरी का प्रदर्शन करने वाले 295 पुलिसकर्मियों को आउट ऑफ टर्न प्रमोशन दिया गया है। राज्य के पुलिस महानिदेशक (डीजीपी) अरुणदेव गौतम ने इस संबंध में आदेश जारी किया है। प्रमोशन पाने वाले पुलिसकर्मी कांकेर, नारायणपुर, बस्तर, दंतेवाड़ा, बीजापुर और एसटीएफ (विशेष कार्य बल) से संबंधित हैं।
प्रमोशन सूची में आरक्षक, प्रधान आरक्षक, सहायक उप निरीक्षक (ASI) और उप निरीक्षक (SI) रैंक के अधिकारी व कर्मचारी शामिल हैं। यह निर्णय उनके साहसिक कर्तव्य पालन और उत्कृष्ट सेवा के लिए सराहना स्वरूप लिया गया है।








Advertisement




