[t4b-ticker]
Advertisement
छत्तीसगढ़बड़ी खबरब्यूरोक्रेट्स

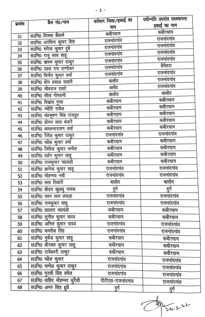
POLICE TRANSFER : पुलिस विभाग में बड़े पैमाने में पदोन्नत हुए ASI का तबादला… 118 पुलिसकर्मी को किया गया इधर से उधर, देखें सूची

दुर्ग। दुर्ग संभाग में पदस्थ पुलिसकर्मियों की पदोन्नति के बाद 118 एएसआई का तबादला हुआ है। ये तबादला लिस्ट दुर्ग रेंज आईजी ओपी पाल ने जारी की है। देखिये जारी आदेश-

Advertisement
Tags

Editorjee News

I am admin of Editorjee.com website. It is Hindi news website. It covers all news from India and World. I updates news from Politics analysis, crime reports, sports updates, entertainment gossip, exclusive pictures and articles, live business information .

Related Articles

Leave a Reply

Your email address will not be published. Required fields are marked *

Back to top button
Close