छत्तीसगढ़ की सियासत में उबाल, जेपी नड्डा के खिलाफ कांग्रेस ने की FIR दर्द करने की मांग, जानें क्या है मामल
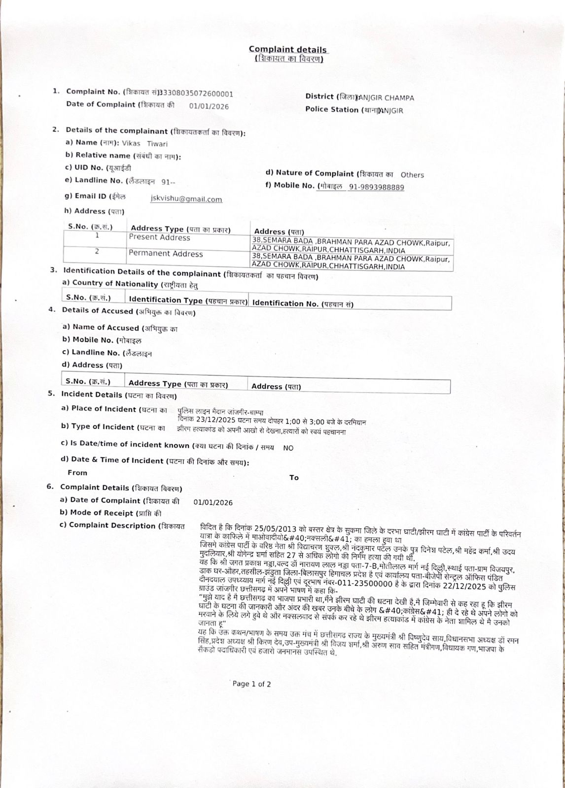
रायपुर। JP Nadda Controversy: छत्तीसगढ़ की राजनीति में एक बार फिर सियासी पारा हाई है। कांग्रेस पार्टी ने बीजेपी राष्ट्रीय अध्यक्ष जेपी नड्डा के खिलाफ एफआईआर दर्ज करने की मांग की है। कांग्रेस प्रवक्ता विकास तिवारी ने जांजगीर थाना, पुलिस अधीक्षक और पुलिस महानिदेशक को आवेदन दिया है, जिसमें उन्होंने नड्डा के झीरम हत्याकांड के जिक्र को लेकर आपत्ति जताई है। विकास तिवारी ने नड्डा के नार्को टेस्ट की भी मांग की है।
दरअसल, बीते दिनों जेपी नड्डा ने जांजगीर में एक जनसभा के दौरान झीरम हत्याकांड का जिक्र करते हुए कांग्रेस और नक्सलियों के बीच सांठगांठ का आरोप लगाया था, जिसके बाद सियासत गरमा गई थी। वहीं उनके इस बयान के बाद कांग्रेस ने उनके खिलाफ एफआईआर दर्ज करने की मांग की है।
JP Nadda Controversy: कांग्रेस का कहना है कि, नड्डा के बयान से राजनीतिक माहौल तनावपूर्ण हो सकता है और उन्होंने कांग्रेस के नेताओं को बदनाम करने की कोशिश की है। PCC का कहना है कि झीरम हत्याकांड छत्तीसगढ़ की राजनीति का सबसे संवेदनशील अध्याय रहा है और इस पर इस तरह की टिप्पणी से न केवल पीड़ित परिवारों की भावनाएं आहत होती हैं, बल्कि समाज में गलत संदेश भी जाता है।





